
Bmi Calculator Malaysia Calculator Com My

Pdf A Summary Of The Malaysian Clinical Practice Guidelines On Management Of Obesity 2004 Semantic Scholar

Prevalence Of Obesity Bmi 30 Among Malaysian Adults 25 64 Years Old Download Table


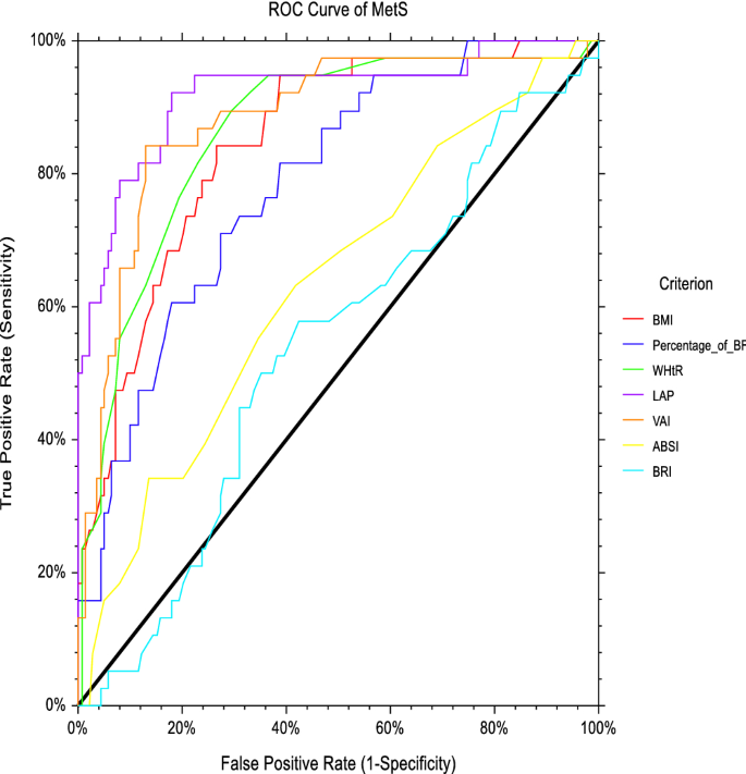
Comparisons Of Conventional And Novel Anthropometric Obesity Indices To Predict Metabolic Syndrome Among Vegetarians In Malaysia Scientific Reports

Food Nutrition Information

Managing Obesity The Star
Ispub Com

The Association Between Abnormal Eating Behaviors Body Mass Index And Waist To Height Ratio Among University Students In Malaysia Touchendocrinology

Performance Of Bmi In Diagnosing Obesity Defined By Bf Ijgm

Bmi Test London Weight Management Malaysia

The Use Of Different International References To Assess Child Anthropometric Status In A Malaysian Population The Journal Of Pediatrics